2025上海水磨桑拿会所 ,全国上海模特高端伴游,2025成都24小时上门茶工作室,深圳品茶工作室联系方式

ÊÖ»úɨÂ룬΢ÐÅ×Éѯ!

¶Ô¿ÕÇ鱨À×´ïÕ¾µç´Å»·¾³·À»¤ÒªÇó(GB 13618-92)-ÖÐ×Ó²âÁ¿ÒÇ|ÖÐ×Ó¼à²âÒÇ|ÖÐ×Ó±¨¾¯ÒÇ|ÖÐ×Ó¼ì²âÒÇ|ÖÐ×Ó¼ÁÁ¿ÂÊÒÇ|ÖÐ×Ó¼ÁÁ¿µ±Á¿ÒÇ-ÉϺ£ÈÊÈÕ·øÉä·À»¤É豸ÓÐÏÞ¹«Ë¾

µç»°£º86-021-69515711
´«Õ棺86-021-69515712

³ÉÏÈÉú-ÉϺ£ÈÊÈÕ·øÉä·À»¤ ¿Í·þ

ÁªÏµÎÒÃÇ
¹Ø×¢£ºÈÊÈտƼ¼
¹Ø×¢ÈÊÈտƼ¼;»ñÈ¡·øÉä·À»¤ÖªÊ¶£¡
ÍÆ¼ö²úÆ·
  •   REN200B ·ÅÉäÐÔ¸öÈ˼ÁÁ¿±¨¾¯ÒÇ

    REN200BÐÍX¡¢¦Ã·øÉä¸öÈ˼ÁÁ¿µ±Á¿HP(10)¼à²âÒÇ£¨¼ò³Æ£º¸öÈ˼ÁÁ¿±¨¾¯ÒÇ£©ÄÚÖøßÁ¿³Ì¸Ç¸ñ¼ÆÊý¹ÜΪ̽²âÆ÷£¬Ö÷ÒªÓÃÀ´¼à²â¸÷ÖÖ·ÅÉäÐÔ¹¤×÷³¡ËùµÄX¡¢¦ÃÒÔ¼°Ó²¦ÂÉäÏߵķøÉ䣬¾ßÓнϿíµÄ²âÁ¿·¶Î§¡£ÄÜÏÔʾ¹¤×÷³¡ËùµÄ¼ÁÁ¿µ±Á¿ÂʺÍÀÛ»ý¼ÁÁ¿£¬¸ü»»µç³ØÊ±£¬ÈÕÆÚ¼°ÀÛ»ýÊý¾ÝÄÜÓÀ¾Ã±£´æ¡£¿ÉÑ¡ÅäRenRiPersonal¸öÈË

  •   REN-3He-N ÖÐ×Ó¼ÁÁ¿µ±Á¿ÂÊ̽ͷ

           RENϵÁÐÖÇÄÜ»¯·øÉä̽ͷ¾ù¿ÉºÍREN300¡¢REN300A¡¢REN300BϵÁÐÖ÷»úÅäÌ×ʹÓÃ,Ò²¿ÉÒÔµ¥¶ÀÅäÌ×RenRiArea·øÉäÇøÓò¼à²âÈí¼þʹÓá£ÇÒ¾ßÓÐRS485/RS232µÄͨѶÄÜÁ¦¡£ËùÓÐ̽ͷ¾ù¿Éµ¥¶ÀÍâ½Ó±¨¾¯µÆ£¬ÔÚ³¬ãÐÖµµÄÇé

  •   REN300A ¹Ì¶¨Ê½·øÉ䱨¾¯ÒÇ

      REN300AÔÚÏß·øÉ䰲ȫ±¨¾¯ÒÇÊÇÒ»ÖÖÐÂÐ͵Äx-¦Ã·øÉäÁ¬Ðø¼à²â±¨¾¯×°Öã¬Ëü²ÉÓÃÌØÊâÉè¼ÆµÄǰÖ÷Ŵóµç·£¬¾ßÓÐÁéÃô¶È¸ß¡¢²Ù×÷·½±ã¡¢×Ô¶¯ÏÔʾºÍ³¬ãÐÖµ±¨¾¯µÈÌØµã£¬ÄÜʵʱ¸ø³öx¦Ã·øÉä¼ÁÁ¿ÂÊ£»ÒÇÆ÷ÄÚÖú£Á¿Êý¾Ý´æ´¢¹¦ÄÜ£¬ÄÜ´æ´¢10ÄêµÄÀúÊ·Êý¾ÝÇÒ±êÅäÌṩǿ´óµÄRenLocal·øÉä¼à²âÊý¾Ý·ÖÎöÈí¼þ¡£¿¼ÂÇ

  •   REN700 ͨµÀʽ³µÁ¾·ÅÉäÐÔ¼ì²âϵͳ

    ¼ò½é£º     REN700ÐÍͨµÀʽ³µÁ¾·ÅÉäÐÔ¼ì²âϵͳÊÇÓÃÓÚ¶Ôͨ¹ýͨµÀµÄ¿¨³µ¡¢¼¯×°ÏäµÈ³µÁ¾ÄÚÔËÊäÎïÆ·µÄ·ÅÉäÐÔÎÛȾ¼°·øÉäй¶ˮƽµÄÈ«Ììºò̽²âϵͳ¡£¸Ãϵͳ¾ßÓÐÁéÃô¶È¸ß¡¢Ì½²â·¶Î§¹ã¡¢ÏìӦʱ¼ä¶ÌµÈÌØµã£¬¿ÉʵÏÖ×Ô¶¯·øÉ䱨¾¯¡¢×Ô¶¯Êý¾Ý´æ´¢¡¢×Ô¶¯×¥ÅÄͨ¹ý³µÁ¾ÕÕÆ¬µÈ¹¦ÄÜ¡£Ö÷Òª°²×°ÔÚºË

  •   REN500L ¼ÁÁ¿ÂÊѲ¼ìÒÇ

    REN500L»·¾³¼à²âÓÃX¡¢¦Ã·øÉä¿ÕÆø±ÈÊͶ¯ÄÜÂÊÒDzÉÓó¬´ó³ß´ç¡¢¸ßÁéÃôµÄÉÁ˸¾§Ìå×÷Ϊ̽²âÆ÷,·´Ó¦Ëٶȿ졣Ö÷»úÄÚÖÃ̽²âÆ÷ʹµÃÕû»úÓиü¿íµÄ²âÁ¿·¶Î§¡£ÒÇÆ÷Âú×ã¡¶»·¾³µØ±í¦Ã·øÉä¼ÁÁ¿Âʲⶨ¹æ·¶¡·ÖеͼÁÁ¿²¿·ÖµÄÒªÇ󡣸ÃÒÇÆ÷³ýÄܲâ¸ßÄÜ¡¢µÍÄܦÃÉäÏßÍ⣬»¹ÄܶԵÍÄÜXÉäÏß½øÐÐ׼ȷµÄ²âÁ¿£¬¾ßÓÐÁ¼ºÃµÄÄÜÁ¿ÏìÓ¦ÌØÐÔ¡£´ËÍâͨ¹ý

  •   REN310 ÔÚÏßʽÉäÏß±¨¾¯ÒÇ

        REN310ÐÍÁ¢Öùʽ·øÉä¼à²âϵͳ£¬Ö÷ÒªÓÃÓÚ·ÅÉäÐÔ¼à²â³¡ËùµÄÐÐÈË»òÐаüͨ¹ýµÄ¼à²âϵͳ£¬²ÉÓôóÌå»ýµÄÉÁ˸Ìå̽²âÆ÷×÷Ϊ̽²âÆ÷£¬¾ßÓÐÌå»ýС£¬±ãÓÚЯ´ø£¬ÁéÃô¶È¸ß£¬Îó²îСµÄÌØµã£¬ÊÊÓÃÓëºËÓ¦¼±µÈÌØÊâµÄ·ÅÉäÐÔ¼ì²â³¡ºÏ¡£¸ÃϵͳÖ÷ÒªÓɰ²×°ÔÚÏÖ³¡µÄÁ¢ÖùºÍÔ¶³Ì¼ÆËã»úϵͳ×é³É¡£Á¢ÖùÄÚÖõÄ

  •   REN-GM-L ·øÉä̽ͷ

    RENϵÁÐÖÇÄÜ»¯·øÉä̽ͷ¾ù¿ÉºÍREN300¡¢REN300A¡¢REN300BϵÁÐÖ÷»úÅäÌ×ʹÓÃ,Ò²¿ÉÒÔµ¥¶ÀÅäÌ×RenRiArea·øÉäÇøÓò¼à²âÈí¼þʹÓá£ÇÒ¾ßÓÐRS485/RS232µÄͨѶÄÜÁ¦¡£ËùÓÐ̽ͷ¾ù¿Éµ¥¶ÀÍâ½Ó±¨¾¯µÆ£¬ÔÚ³¬ãÐÖµµÄÇé¿öϾ͵ظø³öÉù¹â±¨¾¯¡£ 1¡¢²âÁ¿ÉäÏßÀàÐÍ£ºX¡¢¦ÃÉäÏß2¡¢Ì½²âÆ÷£ºGM¹Ü̽

  •   REN800A ÖÐ×Ó¼ÁÁ¿µ±Á¿ÒÇ

    REN800AÐÍÖÐ×Ó¡¢X¡¢¦Ã·øÉäÖÜΧ¼ÁÁ¿µ±Á¿(ÂÊ)ÒÇÄÚÖÃÒ»¸ö½ø¿ÚHe-3¹ÜºÍÒ»¸öGM¹Ü×÷Ϊ̽²âÆ÷£¬ÄÜͬʱ¼ì²âÖÐ×ÓºÍX¡¢¦ÃÉäÏß¡£¸ÃÒÇÆ÷ʹÓ÷½±ã£»ÁéÃô¶È¸ß¡¢¿¹¦ÃÐÔÄܺá¢ÄÜÁ¿ÏìÓ¦ÌØÐԺᣴËÍâͨ¹ýÅäÌ×µÄRenRiRate·øÉä¼ÁÁ¿¹ÜÀíÈí¼þ¿É½«´æ´¢µÄÊý¾Ý¶Á³öºó·ÖÎö¡£¸ÃÒÇÆ÷ÊÊÓÃÓÚ»·±£¡¢»¯¹¤¡¢Ê¯ÓÍ¡¢Ò½ÁÆ¡¢½ø³ö¿ÚÉ̼ì

±ê×¼Óë·¨¹æ

¶Ô¿ÕÇ鱨À×´ïÕ¾µç´Å»·¾³·À»¤ÒªÇó(GB 13618-92)

2006/9/16 20:50:00

¶Ô¿ÕÇ鱨À×´ïÕ¾µç´Å»·¾³·À»¤ÒªÇó

Requirements of electromagnetic enviroment
proteetion for air defense surveillance radar station

1 Ö÷ÌâÄÚÈÝÓëÊÊÓ÷¶Î§

    ±¾±ê×¼¹æ¶¨Á˶ԿÕÇ鱨À×´ïÕ¾¶Ô¸ßѹ¼Ü¿ÕÊäµçÏß·¡¢±äµçÕ¾¡¢Ìú·¡¢Æû³µ¹«Â·ºÍ¹¤¡¢¿Æ¡¢Ò½É䯵É豸µÈµç´Å·øÉäµÄ·À»¤ÒªÇ󣬲¢¹æ¶¨Á˶ԿÕÇ鱨À×´ïÕ¾ºÍÆäËûÎÞÏßµçÒµÎñÖ®¼äЭµ÷µÄÒÀ¾Ý¡£
    ±¾±ê×¼ÊÊÓÃÓÚ¹¤×÷ƵÂÊΪ80¡«3000MHzƵ¶ÎÄڵĶԿÕÇ鱨À×´ïÕ¾¡£

2 ÊõÓï

2.1 ¶Ô¿ÕÇ鱨À×´ïÕ¾ air defense surveillance radar station
    ¶Ô¿ÕÇ鱨À×´ïÕ¾ÓɶԿÕÇ鱨À״ѯÎÊ»úÒÔ¼°¸½ÊôÉ豸µÈ×é³É£¬ÔÚ·À¿ÕºÍ¿ÕÖн»Í¨¹ÜÖÆÏµÍ³ÖУ¬ÓÃÀ´ËÑË÷¡¢¼àÊÓºÍʶ±ð¿ÕÖÐÄ¿±ê£¬²â¶¨Æä×ø±ê¡£¶Ô¿ÕÇ鱨À×´ïÒ»°ã°üÀ¨¾¯½ä¡¢Òýµ¼¡¢²â¸ß¡¢Ä¿±êָʾ¡¢º½¹ÜÀ×´ïµÈ¡£
2.2 À×´ïÕ¾µç´Å»·¾³ radar station electromagnetic environment
    À×´ïÕ¾ÖÜΧ£¬×ÔÈ»ºÍÈËΪµÄ¸÷ÖÖµç´Å·øÉäÔÚÀ״﹤×÷Ƶ¶ÎÄڵĵç´ÅÄÜÁ¿¡¢Ê±¼ä¼°¿Õ¼ä·Ö²¼µÄ×ÜÌå¡£
2.3 ×î´óÈÝÐí¸ÉÈŵçѹ maximum permitted interference voltage
    ÔÚ²»ÄÜÍêÈ«±ÜÃâÓк¦¸ÉÈŵÄÌõ¼þÏ£¬¸ù¾Ý¸ÉÈÅ·À»¤×¼ÔòÈ·¶¨µÄÀ×´ï½ÓÊÕ»úÊäÈë¶ËÈÝÐíµÄ×î´ó¸ÉÈŵçѹ¡£
2.4 ×î´óÈÝÐí¸ÉÈų¡Ç¿ maximum permitted interference field strengrh
    À×´ï½ÓÊÕ»úÊäÈë¶Ë¸ÉÈŵçѹΪ×î´óÈÝÐíֵʱ£¬ÔÚÀ×´ïÌìÏßÖÐÐĸ߶ȴ¦µÄ¸ÉÈų¡Ç¿¡£
2.5 À×´ïÕ¾·À»¤¼ä¾à radar station protection distance
    ÄÜÂú×ã¸ÉÈÅ·À»¤×¼ÔòÒªÇóµÄÀ×´ïÌìÏßÓë¸÷¸ÉÈÅÔ´Ö®¼äµÄ×îС¼ä¸ô¾àÀë¡£
2.6 ¸ÉÈÅʱ¼ä interference duration
    À×´ï½ÓÊÕ»úÊäÈë¶Ë¸ÉÈŵçѹ³¬¹ý×î´óÈÝÐíÖµµÄ³ÖÐøÊ±¼ä¡£
2.7 µç´ÅÕϰ­Îï electromagnetic obstacle
    ÄܶÔÀ×´ïËù·øÉäµÄ¸ßƵµç´Å²¨²úÉúÕڱκ͸ÉÈÅÓ°ÏìµÄÉèÊ©£¬Í³³Æµç´ÅÕϰ­Îï¡£

3 ¸ÉÈÅ·À»¤×¼Ôò

3.1 ¶Ô¿ÕÇ鱨À×´ïÔÚÓÐÔ´¸ÉÈŲ»¿É±ÜÃâµÄÌõ¼þÏ£¬ÈÝÐíÓв»´óÓÚ5%µÄ̽²â¾àÀëËðʧ¡£
3.1.1 ¶Ô°×ÔëÉù¸ÉÈÅ£¬À×´ï½ÓÊÕ»úÊäÈë¶ËµÄ×î´óÈÝÐí¸ÉÈŵçѹΪ£º

         (1)

ʽÖУºUjfmax---½ÓÊÕ»úÊäÈë¶Ë×î´óÈÝÐí¸ÉÈŵçѹÓÐЧֵ£¬¦ÌV£»
      Unf---µÈЧµ½½ÓÊÕ»úÊäÈë¶ËµÄϵͳÔëÉùµçѹÓÐЧֵ£¬¦ÌV¡£È¡Öµ¼û±í1¡£

±í1 ½ÓÊÕ»úÊäÈë¶ËµÈЧÔëÉùµçѹ

Ƶ ÂÊ MHz 80¡«300 300¡«3000
Unf ¦ÌV 0.77 0.85

3.1.2 ¶Ô²»Í¬ÐÔÖʵÄËæ»ú¸ßƵÂö³å¸ÉÈÅ£¬ÔÚÀ×´ï½ÓÊÕ»úÊäÈë¶ËµÄ×î´óÈÝÐí¸ÉÈŵçѹΪ£º

         (2)

ʽÖУºC -- Ïà¶ÔÓÚ°×ÔëÉù×î´óÈÝÐí¸ÉÈŵçѹµÄÔöÁ¿ÏµÊý£¬È¡Öµ¼û±í2¡£

±í2 ²»Í¬ÐÔÖÊËæ»ú¸ßƵÂö³å¸ÉÈŵÄÔöÁ¿ÏµÊý

¸ÉÈÅÔ´ ¸ß ѹ    ¼Ü ¿Õ
ÊäµçÏß·¡¢±äµçÕ¾
µçÆø»¯
Ìú ·
Æû³µ
¹«Â·
¸ß Ƶ
ÈȺϻú
¹¤Òµ
µçº¸
¸ß Ƶ
ÀíÁÆ»ú
¸ßƵ¯
C 3 4 4 4 5.4 5.4 5.4

3.1.3 ¶Ô½ÓÊÕ»úͨƵ´øÒÔÍâµÄµ÷·ù¡¢µ÷Ƶ¸ÉÈÅÐźÅ£¬ÔÚÀ×´ï½ÓÊÕ»úÊäÈë¶ËµÄ×î´óÈÝÐí¸ÉÈŵçѹ¡£
3.1.3.1 ½ÓÊÕ»úÊäÈë¶Ë¶ÔͨƵ´øÍâÁÚÆµ¸ÉÈÅÐźŵÄ×î´óÈÝÐí¸ÉÈŵçѹΪ£º

         (3)

ʽÖУºUip¡÷fmax---½ÓÊÕ»úͨƵ´øÍâµÄ×î´óÈÝÐí¸ÉÈŵçѹ·åÖµ£¬dB(¦ÌV)£»
      Ujpmax---½ÓÊÕ»úͨƵ´øÄÚ×î´óÈÝÐí¸ÉÈŵçѹ·åÖµ£¬È¡Öµ¼û±í3£»
      K¡÷f---¸ÉÈÅÐÅºÅÆµÂÊÆ«Àë½ÓÊÕ»ú¹¤×÷ƵÂÊ¡÷fʱµÄ½ÓÊÕ»ú´øÍâÒÖÖÆÏµÊý£¬dB£¬È¡Öµ¼û±í4¡£

±í3 ½ÓÊÕ»úͨƵ´øÄÚ×î´óÈÝÐí¸ÉÈŵçѹ

¸ÉÈÅÖÖÀà µ÷ ·ù µ÷ Ƶ
Ƶ ¶Î MHz 80¡«300 300¡«3000 80¡«300 300¡«3000
Ujpmax  dB(¦ÌV) 6 6.9 18 18.7

±í4 ½ÓÊÕ»ú´øÍâÒÖÖÆÏµÊý

ƵƫMHz K¡÷fdB
80¡«300MHz 300¡«3000MHz
0.3 10 ¡ª¡ª
0.5 20 ¡ª¡ª
1.0 50 ¡ª¡ª
1.5 63 10
2.0 70 33
2.5 ¡ª¡ª 51
3.0 ¡ª¡ª 62
3.5 ¡ª¡ª 66
4.0 ¡ª¡ª 70

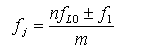
3.1.3.2 ¸ÉÈÅÐÅºÅÆµÂÊfjÂú×ã(4)ʽÌõ¼þʱ£¬ÔÚÀ×´ï½ÓÊÕ»úÊäÈë¶ËµÄ¸ÉÈŵçѹӦСÓÚ85dB(¦ÌV)¡£

         (4)

ʽÖУºfj---¸ÉÈÅÐÅºÅÆµÂÊ£¬MHz£»
      n---±¾ÕñƵÂʵÄг²¨´ÎÊý£¬ÕýÕûÊý1£¬2£¬3£»
      fLO---½ÓÊÕ»ú±¾ÕñƵÂÊ£¬MHz£»
      fI---½ÓÊÕ»úÖÐÆµÆµÂÊ£¬MHz£»
      m---¸ÉÈÅÆµÂʵÄг²¨´ÎÊý£¬ÕýÕûÊý1£¬2£¬3¡£

3.1.3.3 Èç¹ûÓÐÁ½ÉÏ»òÁ½¸öÒÔÉϵĸÉÈÅÐźÅͬʱ½øÈëÀ×´ï½ÓÊÕ»úÊäÈë¶Ë£¬ÆäƵÂÊÂú×ã²úÉú¶þ¡¢Èý½×»¥µ÷¸ÉÈÅÌõ¼þʱ£¬ÆäÖÐÒ»¸ö¸ÉÈÅÐźŵĵçѹӦµÍÓÚ60dB(¦ÌV)¡£
3.1.3.4 ÔÚÀ×´ï½ÓÊÕ»ú¸ß·Åͨ´øÍâ,¸ÉÈÅÐÅºÅÆµÂʲ»Âú×ã(4)ʽºÍ»¥µ÷¸ÉÈÅÌõ¼þʱ,¸ÉÈÅÐźŵçѹӦСÓÚ110dB(¦ÌV)¡£
3.2 µç´ÅÕϰ­Îï¶ÔÀ×´ï̽²â¾àÀëÓ°ÏìµÄËðʧ£¬²»³¬¹ý̽²â¾àÀëµÄ5%¡£
3.3 Ò»´ÎÁ¬½Ó¸ÉÈÅʱ¼ä²»³¬¹ý10s¡¢Á½´Î¸ÉÈŵļä¸ôʱ¼ä²»ÉÙÓÚ10s¡¢Ã¿Ð¡Ê±ÀۼƸÉÈÅʱ¼ä²»³¬¹ý¹¤×÷ʱ¼äµÄ5%¡£

4 ·À»¤¼ä¾à

    ¶Ô¿ÕÇ鱨À×´ïÕ¾¶Ô¸÷ÖÖ¸ÉÈÅÔ´µÄ·À»¤¼ä¾à¼û±í5¡£

±í5 ·À»¤¼ä¾à

¸É ÈÅ Ô´ ·À»¤¼ä¾à£¬km ±¸ ×¢
80¡«300MHz 300¡«3000MHz
¸ßѹ¼Ü¿Õ

ÊäµçÏß·
500kV 1.6 1.0   
220¡«330kV 1.2 0.8   
110kV 1.0 0.7   
¸ßѹ±äµçÕ¾ 500kV 3.0 1.2   
220¡«330kV 1.6 0.8   
110kV 1.4 0.7   
µçÆø»¯Ìú· ¹ú²ú»ú³µ 0.8 0.7   
·ÇµçÆø»¯Ìú· 0.6 0.5   
Æû³µ¹«Â· ¸ßËÙ¡¢Ò»¼¶ 1.0 0.7   
¶þ¼¶ 0.8 0.7   
¸ßƵÈȺϻú 1.2 1.2 ´Ó³§·¿ËãÆð
¸ßƵ¯ P¡Ü100kW 0.5 0.5 ÓÐÆÁ±ÎµÄ³§·¿£¬
´Ó³§·¿ËãÆð
¹¤Òµµçº¸ P¡Ü10kW 0.5 0.5   
³¬¸ßƵÀíÁÆ»ú P¡Ü1kW 1.0 1.0 ´Ó¹¤×÷¼äËãÆð
Å©ÓõçÁ¦É豸 P¡Ü1kW 0.5 0.5   
¡¡

    ×¢£ºa.ÌØÊâÇé¿öÏ£¬°´¸ÉÈÅ·À»¤×¼ÔòµÄÒªÇ󣬲ÎÕÕÓйظ½Â¼½øÐвâËã¡£
        b.À×´ï¶Ôµ÷·ù¡¢µ÷ƵÐźŷ¢ËÍÉ豸µÄ·À»¤¼ä¾à°´Óйظ½Â¼Öеķ½·¨¼ÆËã¡£

¶Ô¿ÕÇ鱨À×´ïÕ¾µç´Å»·¾³·À»¤ÒªÇó(GB 13618-92) µÄÏà¹Ø²úÆ·£º
  • ǦÆÁ·ç¡¢Ç¦Ò¼ܡ¢µçÀë·øÉä¾¯Ê¾ÅÆ¡¢·ÖÔ´·À»¤ÆÁ¡¢Ç¦Ïä¡¢×¢ÉäÆ÷·À»¤Ìס¢±¨¾¯µÆ

    ²úÆ·Ãû³Æ£ºÇ¦ÆÁ·ç¡¢Ç¦Ò¼Ü¡¢µçÀë·øÉä¾¯Ê¾ÅÆ¡¢·ÖÔ´·À»¤ÆÁ¡¢Ç¦Ïä¡¢×¢ÉäÆ÷·À»¤Ìס¢±¨¾¯µÆ

    ²úÆ·ÃèÊö£ºµ¥ÁªÒƶ¯Ê½·À»¤ÆÁ·ç 1¡¢¹æ¸ñ³ß´ç£º  H¡ÁW£º1800¡Á900 (mm)2¡¢ÉÌÆ·ÃèÊö£º  Éϲ¿Ç¦Óлú²£Á§µÄ¸ß¶ÈΪ   H¡ÁW£º240¡Á240 (mm)3¡¢Ç¦µ±Á¿£º  Ǧ²£Á§0.5mmPb£¬  ϲ¿·ÖǦµ±Á¿Îª0.5mmpb4¡¢ÍâÊβÄÁÏ£ºÌ¼ËظְåÅç

  • REN600ÐͦÁ¡¢¦Â±íÃæÎÛȾ²âÁ¿ÒÇ

    ²úÆ·Ãû³Æ£ºREN600ÐͦÁ¡¢¦Â±íÃæÎÛȾ²âÁ¿ÒÇ

    ²úÆ·ÃèÊö£º  REN600B¦Á¡¢¦Â±íÃæÎÛȾ¼ì²âÒDzÉÓÃÉÁ˸̽²â·¨£¬ÓÃÀ´¼ì²â·ÅÉäÐÔ¹¤×÷³¡ËùºÍʵÑéÊҵŤ×÷Ì¨Ãæ¡¢µØ°å¡¢Ç½Ãæ¡¢ÊÖ¡¢Ò·þ¡¢Ð¬µÈ±íÃæÊܦÁ»ò¦Â(¦Ã)·ÅÉäÐÔÎÛȾµÄ³Ì¶È£¬Ò²¿É¶ÔÃÜ·âÐͦÁ¡¢¦ÂÍ¬Î»ËØÐ¹Â©Ë®Æ½½øÐмì²â¡£ÒÇÆ÷¾ßÓнϸߵÄ̽²âЧÂÊ£»´ËÍâͨ¹ýÅäÌ×µÄ RenRiRate·øÉä¼ÁÁ¿¹ÜÀíÈí¼þ¿É½«´æ´¢µÄÊý¾Ý¶Á

  • REN500ÐÍÖÇÄÜ»¯¦Ö¡¢¦Ã·øÉäÒÇ

    ²úÆ·Ãû³Æ£ºREN500ÐÍÖÇÄÜ»¯¦Ö¡¢¦Ã·øÉäÒÇ

    ²úÆ·ÃèÊö£º      REN500ÐÍÖÇÄÜ»¯¦Ö¡¢¦Ã·øÉäÒDzÉÓøßÁéÃôµÄÉÁ˸¾§Ìå×÷Ϊ̽²âÆ÷,·´Ó¦ËÙ¶È¿ì, ºÍ¹úÄÚͬÀàÒÇÆ÷Ïà±È£¬¸ÃÒÇÆ÷¾ßÓиü¿íµÄ¼ÁÁ¿ÂʲâÁ¿·¶Î§¡£ ¸ÃÒÇÆ÷³ýÄܲâ¸ßÄÜ¡¢µÍÄܦÃÉäÏßÍ⣬»¹ÄܶԵÍÄÜXÉäÏß½øÐÐ׼ȷµÄ²âÁ¿£¬¾ßÓÐÁ¼ºÃµÄÄÜÁ¿ÏìÓ¦ÌØÐÔ¡£´ËÍâͨ¹ýÅäÌ×µÄRe

  • REN510ÐͱãЯʽ¦ÃÆ×ÒÇ

    ²úÆ·Ãû³Æ£ºREN510ÐͱãЯʽ¦ÃÆ×ÒÇ

    ²úÆ·ÃèÊö£ºREN510ÐͱãЯʽ¦ÃÆ×ÒÇÖ÷ÒªÓÃÓÚ°²¼ì¡¢·´¿Ö¡¢ºËʹÊÏÖ³¡µÄÎÛȾ·ÖÎö£¬¿É½øÐЦ÷øÉä¼ÁÁ¿µÄ²âÁ¿£¬Í¬Ê±ÏµÍ³ÄÚÖúËËØ¿â£¬¿ÉÒÔ×Ô¶¯Ê¶±ðÈ˹¤¼°ÌìÈ»Í¬Î»ËØ¡£ÒÇÆ÷ΪһÌåʽ£¬ÄÚÖÃ2Ó¢´çNaI(Tl) ¦Ã̽²âÆ÷£¬¿Éͬʱ²âÁ¿¦ÃÄܯס¢¦Ã¼ÁÁ¿ÂÊ¡£ÒÇÆ÷ΪȫÊý×Ö»¯£¬¼¯Ì½²âÆ÷¡¢³ÉÐÍ·Å´óÆ÷¡¢¶àµÀ·ÖÎöÆ÷¡¢µçÔ´¡¢´¥ÃþÆÁ¡¢ÄÚ´æÎªÒ»Ì壬¹¦ºÄ

  • µçÀë·øÉ侯¸æ±ê־ů

    ²úÆ·Ãû³Æ£ºµçÀë·øÉ侯¸æ±ê־ů

    ²úÆ·ÃèÊö£º²ÄÁÏ£º PVCËÜÁÏ   ²»¸É½º  ¹æ¸ñ£º 25 ¡Á 30cm ˵Ã÷£ºµçÀë·øÉ侯¸æ±êÖ¾µÄº¬ÒåÊÇʹÈËÃÇ×¢Òâ¿ÉÄÜ·¢ÉúµÄΣÏÕ¡£Æä±³¾°Îª»ÆÉ«£¬ÕýÈý½ÇÐα߿ò¼°µçÀë·øÉä±ê־ͼÐξùΪºÚÉ«£¬¡°µ±ÐĵçÀë·øÉ䡱ÓúÚÉ«´ÖµÈÏßÌå×Ö¡£±êÅÆµÄ³ß´ç¡¢ÐÎ×´ºÍÑÕÉ«¼°ÎÄ×ÖÃèÊöÑϸñ°´¡¶GB 18871-200

  • REN300ÐÍÔÚÏßx-¦Ã·øÉ䰲ȫ±¨¾¯ÒÇ

    ²úÆ·Ãû³Æ£ºREN300ÐÍÔÚÏßx-¦Ã·øÉ䰲ȫ±¨¾¯ÒÇ

    ²úÆ·ÃèÊö£º  REN300ÔÚÏßx-¦Ã·øÉ䰲ȫ±¨¾¯ÒÇÊÇÒ»ÖÖÐÂÐ͵Äx-¦Ã·øÉäÁ¬Ðø¼à²â±¨¾¯×°Öã¬Ëü²ÉÓÃÌØÊâÉè¼ÆµÄǰÖ÷Ŵóµç·£¬¾ßÓÐÁéÃô¶È¸ß¡¢²Ù×÷·½±ã¡¢×Ô¶¯ÏÔʾ¡¢Êý¾Ý´æ´¢ºÍ³¬ãÐÖµ±¨¾¯µÈÌØµã£¬ÄÜʵʱ¸ø³öx¦Ã·øÉä¼ÁÁ¿ÂÊ¡£¿¼Âǵ½ÏÖ³¡²Ù×÷¡¢Ó¦¼±¿ìËÙÏìÓ¦µÄÐèÒª£¬Ö÷»ú°²×°ÔÚ·øÉäÏÖ³¡£¬ÊµÏÖʵʱ¼à²âÓë¾ÍµØ±¨¾¯£¬Í¨¹ýRS48